9.5 Генерация размещений
Размещением элементов из множества E = {a1 , . . . , an } по k
называется упорядоченное подмножество из k элементов, принадлежащих
E.
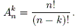
Число размещений обозначают и вычисляют по формуле
или
(9.6)
Легко заметить, что
(9.7)
Таким образом, число размещений из n по k есть число сочетаний из
n по k, умноженное на число перестановок размером k. Используя это
свойство, можно предложить следующий алгоритм генерации
размещений.
Дано: множество элементов, представленное вектором v[n] , k -
количество элементов в размещении, i - номер размещения, для которого
выполняется условие 
- Необходимо получить i-е размещение.
-
- Вычисляем номер сочетания
 - Вычисляем номер перестановки
 - Генерируем
сочетание z = GCombination(v, n, k) .
- Генерируем перестановку
s = GPermutation(z, k) .
- Получаем s - i-е размещение из n
элементов по k.
Реализация алгоритма генерации размещений по номеру.
- Функция вычисления количества размещений из n по m
-
int Arran(int m, int
n)
{
int
v=1;
for(int i=n-m+1; i<=n; i++) v=v*i;
return
v;
} -
Функция генерации размещения
-
void GenerateArrengment(int v[ ], int m, int n, int k)
{
int
c[100];
int
p[100];
int
num_comb=k/Factorial(m); //k%Comb(n,m);
int
num_perm=k%Factorial(m); //k/Comb(n,m);
//printf("k
%d %d %d \n",k,num_comb+1,num_perm);
GenerateCombination(c,0,num_comb+1,n,m);
//PrintPermut(c,n);
GeneratePermutation(p,m,num_perm);
//PrintPermut(p,m);
int
top=0;
for(int i=0; i<n; i++)
if(c[i]==1)
c[top++]=i;
//PrintPermut(c,top);
for(int i=0; i<m; i++) v[i]=c[p[i]-1];
}
|